

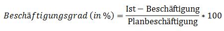
Erklärung:
Der Beschäftigungsgrad beschreibt das Verhältnis von Plan- zur Ist- Beschäftigung und stellt die tatsächliche Beschäftigung (Ist) der vorgesehenen (Plan) gegenüber. Er gibt somit eine Auskunft über die Kapzitätsauslastung. So zeigt bspw. ein Beschäftigungsgrad von 50% an, dass die vorhandenen Kapazitäten nur zur Hälfte ausgelastet sind.
