

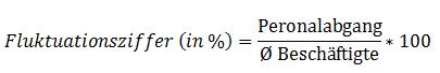
Erklärung:
Die Kennziffer zeigt den relativen Anteil der Personalabgänge im Verhältnis zur mittleren Beschäftigtenzahl. Weitere Untergliederungen können nach Abgangsgrund, Abteilung, Alter, Geschlecht, Betriebszugehörigkeit... angestellt werden.


Die Kennziffer zeigt den relativen Anteil der Personalabgänge im Verhältnis zur mittleren Beschäftigtenzahl. Weitere Untergliederungen können nach Abgangsgrund, Abteilung, Alter, Geschlecht, Betriebszugehörigkeit... angestellt werden.